A Christmas Carol
Decorations and holiday trees inspired by poems, traditional tales, and children’s books are on show at this year's Yuletide at Winterthur which runs throug
A first edition, first issue of Charles Dickens's 1843 A Christmas Carol
Christmas celebrations are already underway at the Charles Dickens Museum in London which is the home in which Dickens himself and his family celebrated yul
A new exhibition this summer will explore Charles Dickens's theatrical interests and the prolific retelling of his greatest stories on stage and screen.
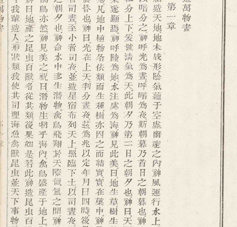
A selection of works offered by Oxfam performed well at Bonhams' Fine Books and Manuscripts sale with the first complete Bible in Chinese translated by Jo
The Charles Dickens Museum opened its doors for the first time in 1925 and will be celebrating its centenary next year with Dickens in Doughty Street: 1
The Morgan Library & Museum has acquired the earliest manuscript with color illustrations of the poem
One of only two copies of Edgar Allan Poe’s Tamerlane and Other
Early printed books, literature, and artist books featured in Swann Galleries’ latest Fine Books auction which was dominated by editions of
Sotheby’s' Book Week in June will feature items from the library of surgeon and book collector Dr. Rodney P.
